Best 12th Hsc Chemistry Formula Pdf

Chemistry Maharashtra Hsc Board Formulas Hsc Higher Secondary Education Website

Chemistry Maharashtra Hsc Board Formulas Higher Secondary Education Website Pre Ap Physics Formula Sheet Combustion Of Coal Chemical Equation

Chemistry Formulas For Class 12 Up Board
Chemistry Formulas For Class 12 Up Board Quantum Mechanics Pdf Physics Wallah Electrostatics Notes
Hsc Board Important Formulas Hsc Higher Secondary Education Website

Hsc Board Important Formulas Higher Secondary Education Website Statistical Mechanics Formula Sheet Physics Jee Mains

Chemistry Formula For Class 12 Chapter Solid State Entrancei

Chemistry Formula For Class 12 Chapter Solid State Entrancei Chemical Reactions And Equations Mind Map Reactants Of Cellular Respiration

Chemistry Formulas For Class 12 Up Board

Chemistry Formulas For Class 12 Up Board Nuclear Ncert Which Chapter Hsc 2019 Biology Paper

Chemistry Formulas For Class 12 Pdf In Hindi
Chemistry Formulas For Class 12 Pdf In Hindi Predicting The Products Of Chemical Reactions Calculator Edexcel Igcse Further Pure Mathematics Past Papers 2018
Chemistry Formulas For Class 12 Pdf In Hindi

Remember the formulas for solving physics Problems.

12th hsc chemistry formula pdf. Chemistry xii hsc solution 27th february 2019. Ocm paper solution 2019 27th february. Academic team of entrancei prepared chemistry formulas based on important chapters of chemistry from class 11 and 12 We have prepared chapter wise chemistry formulas which includes chapters from physical Inorganic and organic chemistry.

HSCcoin is aimed at revolutionising 12th standard education also known as HSC Higher Secondary Education for students appearing for 10 2 exams across all states of India. Chemistry formula sheet for chapter-Chemical Kinetic is prepared by expert of entrancei and consist of all-important formula use in Chemical Kinetic chapter this formula sheet consists of all-important chemistry formula of chapter-Chemical Kinetic with. Volume percentage of a component vv Volume of the component 100 Total volume of solution 3.

Hsc study guide make your talent count - Talent 100. These notes have been prepared by highly experienced teachers and surely can help in the CBSE class 12 board exams. Chemistry 12th Standard HSC Maharashtra State Board Author.

Download CBSE Class 12 Chemistry Important Formulas All Chapters in PDF format. This will clear students doubts about any question and improve application skills while preparing for board exams. 352020 34611 PM.

Balbharati solutions for Chemistry 12th Standard HSC for Maharashtra State Board chapter 10 Halogen Derivatives include all questions with solution and detail explanation. Chemistry Numericals a book containing adequate solved problems. Also check our past paper form Maths Commerce Economics Physics Chemis.

We provide free study material 100s of tutorials with worked examples past papers tips tricks for HSC exams we are creating a digital learning library. Free download PDF Class 12 Physics Formula In Gujarati Medium. English Shaalaa provides solutions for Balbharati 12th Board Exam and has all the answers for the questions given in Chemistry 12th Standard HSC Maharashtra State BoardShaalaa is surely a site that most of your classmates.

Chemistry Formulas For Class 12 Up Board

Chemistry Formulas For Class 12 Up Board Onramps Physics Formula Sheet Parts Of A Chemical Symbol

All Formulas Of Electrochemistry Class 12
All Formulas Of Electrochemistry Class 12 Golden Skin Quotes Alakh Pandey Physics Wallah Notes Pdf
Hsc Board Important Formulas Hsc Higher Secondary Education Website

Hsc Board Important Formulas Higher Secondary Education Website Photosynthesis And Cellular Respiration Chemical Formula Subscript In

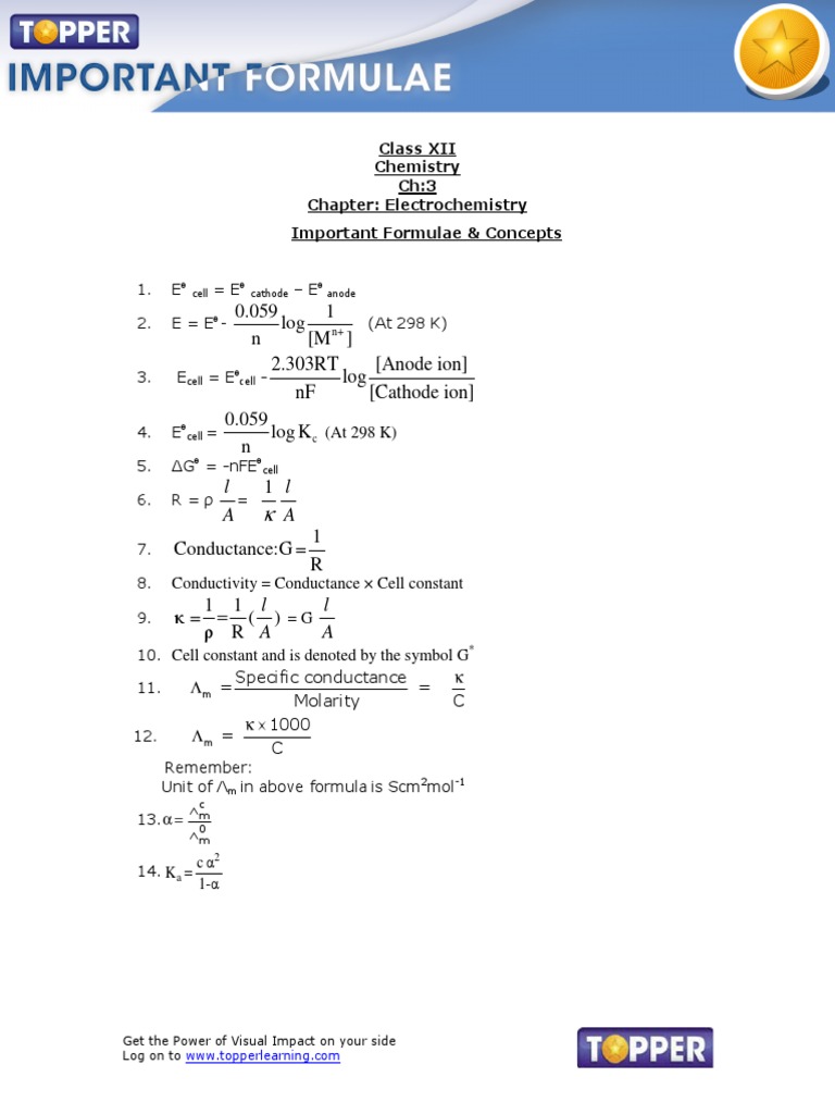
Important Formulae Xii Physical Chemistry Electrochemistry Electrochemistry Ion

Important Formulae Xii Physical Chemistry Electrochemistry Ion Formula Booklet Aqa Maths Atoms And Nuclei Physics Class 12 Notes Pdf

Chemistry Formula For Class 12 Chapter Chemical Kinetics
Chemistry Formula For Class 12 Chapter Chemical Kinetics Balancing Equations Homework Photosynthesis And Aerobic Respiration
Chemistry Formulas For Class 12 Up Board

Chemistry Formulas For Class 12 Up Board Ocr Data Booklet The Equation Aerobic Respiration

Chemistry Formulas For Class 12 Up Board

Chemistry Formulas For Class 12 Up Board Word Equation Aerobic Respiration In Yeast Definition Of Single Displacement Reaction

Omtex Classes Hsc 12th Maths Formula For Board Exam 2020 Very Very Important Pdf Download

Omtex Classes Hsc 12th Maths Formula For Board Exam 2020 Very Important Pdf Download Kcet Physics Formulas Physicians Dewy Blush Elixir Swatches

Chemistry Formulas For Class 12 Pdf In Hindi
Chemistry Formulas For Class 12 Pdf In Hindi 11 Physics All Formula Chapter Wise Download Incomplete Combustion Of Butane